天然产物的合成包括化学合成和生物合成。其中,化学合成主要是基于逆合成分析策略,对目标分子进行合理的解构,来指导设计复杂天然产物的全合成;而生物合成主要是通过对物质/能量代谢及其调控通路的重构,在同源或异源微生物细胞中实现天然产物的生物全合成。无论是化学合成还是生物合成,实现复杂天然产物的高效和规模化制备仍面临诸多挑战。如何学习或模拟生物体高效合成天然产物,一直是有机化学家和合成生物学家关注的热点。植物是天然的化学反应器,可利用有限的生源砌块高效合成结构复杂多样的天然产物。实验室叶文才/王英教授团队经过系统的研究,发现生源砌块正确识别及生源砌块之间的有效结合是成功实现天然产物仿生合成的关键。近日,该团队首次提出了基于生源砌块的天然产物仿生合成策略(Synthesis strategy based on biogenetic building blocks),并将其运用到结构复杂天然产物的仿生合成研究,该研究成果发表在Angew. Chem. Int. Ed. (DOI: 10.1002/anie.202312568)。

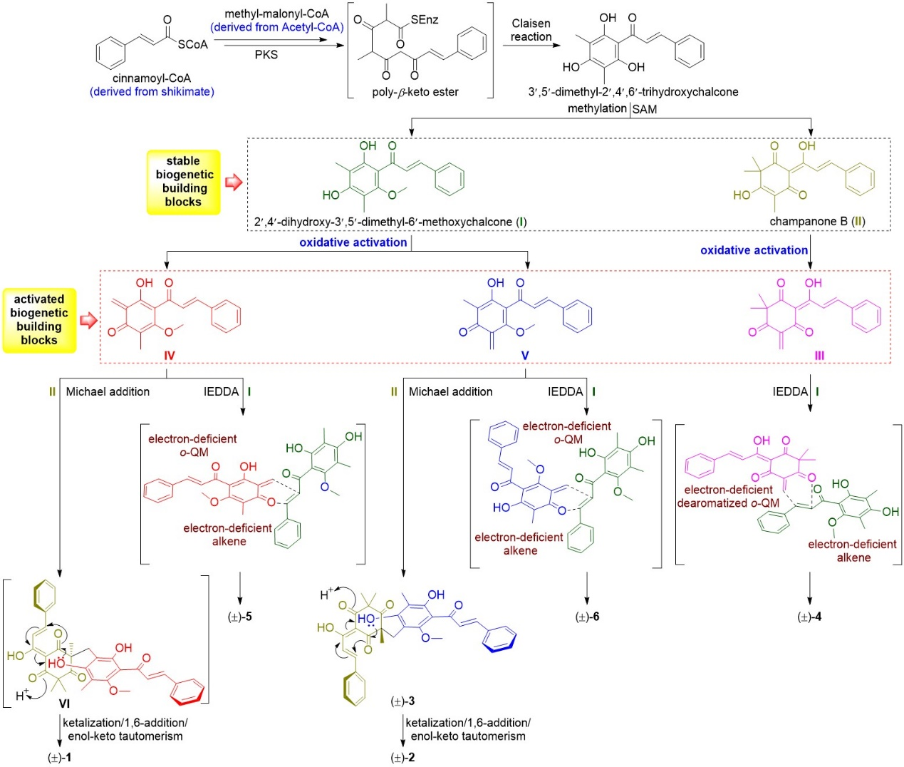
生源砌块可分为稳定型和活化型两种类型,其中稳定型生源砌块为可被分离和鉴定的天然产物,而不稳定的活化型生源砌块通常被认为是由稳定型砌块经生物酶催化活化而形成。因具高反应活性,活化型生源砌块可被用作生物合成中多样导向性的中间体,与其他生源砌块进一步发生反应从而集群式生成一系列结构复杂多样的天然产物。因此,稳定型生源砌块转化成活化型砌块为生源砌块之间有效结合的关键步骤。
Cleistoperlones A–F (1–6)为该团队从岭南中草药水翁花中分离鉴定的新型肉桂酰基间苯三酚类二聚体。其中,化合物1和2具有独特的二氢吡喃并[3,2-d]呫吨四环骨架,并包含3个季碳手性中心;化合物3具有罕见的四个互变异构体结构;化合物4–6为首次发现的肉桂酰基间苯三酚类片段通过C-8′和C-9′位相连的二聚体。同时,还从该植物中分离得到了两个已知的简单肉桂酰基间苯三酚类化合物I和II。
基于化合物1–6、I和II的结构特征,作者对该类化合物的生物合成途径进行了探讨,推测这些结构新颖的化合物是由生源砌块I–V组装而成,涉及的关键生源反应包括迈克尔加成反应、半缩酮化/1,6-加成/烯醇-酮式互变串联反应、反电子需求Diels–Alder反应。其中,化合物I和II为稳定型生源砌块,而化合物III–IV被认为是由I和II经氧化活化而生成的一类具高反应活性的邻亚甲基苯醌类活化型生源砌块。

基于以上生物合成途径推测和生源砌块分析,作者采用基于生源砌块的合成策略对上述化合物进行了集群式仿生合成。首先,以商业可得的间苯三酚为起始原料,分别以克级以上规模合成了稳定型生源砌块I和II。随后,采用一锅法,通过氧化活化I生成活化型砌块IV和V,进一步与砌块II发生串联反应直接生成目标产物1和2。由于该方法的产率和选择性差,作者又通过筛选一系列氧化剂,选择性活化砌块I生成稳定的中间体14和15,后者在路易斯酸或质子酸的作用下生成相应的活化型砌块IV和V,进而实现了化合物1、2、5和6的选择性合成。最后,运用类似的方法,作者又通过一锅法实现了化合物4的合成。

此外,作者测试了上述化合物抗I型单纯疱疹病毒(HSV-1)活性。结果表明,化合物1显示出显著的抗HSV-1标准株及其阿昔洛韦耐药株(HSV-1/Blue and HSV-1/153)的活性。初步的作用机制研究表明,化合物1可能是通过干扰HSV-1病毒的早期复制而发挥抗病毒作用。
综上,本文首次提出了基于生源砌块的天然产物仿生合成策略,并运用该策略成功地集群式合成了具新颖结构的肉桂酰基间苯三酚类化合物。该合成策略具有高效、简洁、原子经济、多样导向性的特点,可用于集群式快速构建骨架结构多样、立体构型丰富的天然产物及其类似物。由于天然产物大多由特定的生源砌块组合而成,因此,上述策略可广泛应用于天然产物的仿生合成研究。

